|
| |
| Back to Products |
| List of Veterinary Products |
| |
| Clorsulon |
| |
| Specs |
USP |
| Cas No |
60200-06-8 |
| IUPAC Name |
1,3-Benzenedisulfonamide,4-amino-6-(trichloroethynyl) |
| Chemical formula |
C8H8Cl3N3O4S2 |
| Molecular Weight |
380.65 g/mol |
| Usage Category |
Anthelminthics |
Molecular Structure |
 |
| Uses |
| For the treatment and control of species like gastro-intestinal roundworms, lungworms, liver fluke, eye worms, warbles, mites and lice of cattle. It is generally administered with Ivermectin.Clorsulon is approved for use in the treatment of immature and adult forms of Fasciola hepatica (Liver fluke) in cattle. It is not effective against immature flukes less than 8 weeks old. It also has activity against Fasciola gigantica. Clorsulon is also not effective against the rumen fluke (Paramphistomum). Clorsulon is considered to be safe to use in pregnant or breeding animals. |
|
| |
| Closantel |
| |
| Specs |
BP |
| Cas No |
60200-06-8 |
| IUPAC Name |
5'-Chloro-4'-(4-chloro-a-cyanobenzyl)-3,5- di-iodosalicyl-o-toluidide |
| Chemical formula |
C22H14Cl2I2N2O2 |
| Molecular Weight |
663.1 g/mol |
| Usage Category |
Anthelminthics |
Molecular Structure |
 |
| Uses |
| An anthelmintic used mostly in domestic animals, it is used as a dewormer for cattle, sheep, horse, pig, dog, camel, deer and ostrich etc. It is highly effective against itch-mite, mange, fascioliasis, sheepnose fly, cowskin fly, fascioliasis, gastrointestinal nematode and demodicidosis etc |
|
| |
| Closantel Sodium |
| |
| Specs |
BP |
| Cas No |
61438-64-0 |
| IUPAC Name |
Sodium N-(5-chloro-4-((4chlorophenyl)cyanomethyl)-o-tolyl)-2- hydroxy-3,5-diiodobenzamidate |
| Chemical formula |
C22H13Cl2I2N2NaO2 |
| Molecular Weight |
686.07 g/mol |
| Usage Category |
Anthelminthics |
Molecular Structure |
 |
| Uses |
| It is a new polyvalent antiparasitic for sheep and cattle. It is especially effective against parasites such as trematodes, some nematodes and arthropods. It can be used mainly for prevention of Fasciola hepatica, Oesophagostomum sp.and Oestrus ovis etc |
|
| |
| Flunixin Meglumine |
| |
| Specs |
USP |
| Cas No |
42461-84-7 |
| IUPAC Name |
6-methylaminohexane-1,2,3,4,5-pentaol;2-[2- methyl-3- (trifluoromethyl) phenyl]aminopyridine-3-carboxylic acid |
| Chemical formula |
C21H28F3N3O7 |
| Molecular Weight |
686.07 g/mol |
| Usage Category |
Non steriodal anti innflammatory drugs (NSAID) |
Molecular Structure |
 |
| Uses |
| Flunixin meglumine is a non-steroidal anti-inflammatory drug (NSAID) and cyclo-oxygenase inhibitor. It is a potent analgesic, antipyretic, and anti-inflammatory. Flunixin meglumine is commonly used for pain relief in the treatment of colic. |
|
| |
| |
| Halquinol |
| |
| Specs |
Inhouse |
| Cas No |
8067-69-4 |
| IUPAC Name |
5,7-dichloroquinolin-8-ol |
| Chemical formula |
C9H5Cl2NO |
| Molecular Weight |
393.66 g/mol |
| Usage Category |
Anti-fungal/Anti Protozoal |
Molecular Structure |
 |
| Uses |
| Halquinol, a chlorinated derivative of 8-hydroxquinoline, is added to animal veeds for prevention of E. coli and Salmonella infections. It is composed of 57-74% 5, 7-Dichloro-8-quinolinol, 23-40% 5-Chloro-8-quinolinol, and up to 7-Chloro-8-quinolinol. It is used as Veterinary medicine and as a feed additive. |
|
| |
| |
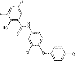
| Nitroxynil |
| |
| Specs |
BP |
| Cas No |
1689-89-0 |
| IUPAC Name |
4-hydroxy-3-iodo-5-nitrobenzonitrile |
| Chemical formula |
C7H3IN2O3 |
| Molecular Weight |
290 g/mol |
| Usage Category |
Anthelminthics |
Molecular Structure |
 |
| Uses |
| Nitroxynil is used for the treatment of fascioliasis infestations of mature and Immature Fasciola hepatica in cattle and sheep. It is also effective against adult and larval infestations of Haemonchus contortus in cattle and sheep and Haemonchus placei, Oesophagostomum radiatum and Bunostomum phlebotomum in Cattle. |
|
| |
| Oxyclozanide |
| |
| Specs |
BP |
| Cas No |
2277-92-1 |
| IUPAC Name |
3,3',5,5',6-Pentachloro-2'- hydroxysalicylanide |
| Chemical formula |
C13H6Cl5NO3 |
| Molecular Weight |
401.5 g/mol |
| Usage Category |
Anthelminthics |
Molecular Structure |
 |
| Uses |
| Oxyclozanide is a salicylanilide anthelmintic used in flukes and tapeworm segments in cattle and sheep. For the treatment and control of chronic fascioliasis in cattle and sheep.Oxyclozanide at the recommended dose rate, removes practically all flukes (Fasciola spp) present in the bile ducts. |
|
| |
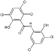
| Rafoxanide |
| |
| Specs |
BP |
| Cas No |
22662-39-1 |
| IUPAC Name |
N-[3-Chloro-4-(4-chlorophenoxy)-phenyl]-2-hydroxy-3,5- diiodobenzamide |
| Chemical formula |
C19H11Cl2I2NO3 |
| Molecular Weight |
626.01 g/mol |
| Usage Category |
Anthelminthics |
Molecular Structure |
 |
| Uses |
| It has strong effect on fasciola hepatica, fasciola gigantica, imago of haemonchus phlebotomum and bunostomum phlebotomum, imago and larva of haemonchus trigonocephalus and bunostomum trigonocephalus as well as oestrus ovis. |
|
| |
| Xylazine Base |
| |
| Specs |
EP |
| Cas No |
7361-61-7 |
| IUPAC Name |
2-(2,6-Dimethylphenylamino)-5,6-Dihydro-4H- Thiazine |
| Chemical formula |
C12H16N2S |
| Molecular Weight |
220.33 g/mol |
| Usage Category |
Anesthetic |
Molecular Structure |
 |
| Uses |
| Xylazine is a drug that is used for sedation, anesthesia, muscle relaxation, and analgesia in animals such as horses, cattle and other large mammals {non-human}. An analogue of clonidine, it is an agonist at the α2 class of adrenergic receptor. In veterinary anesthesia, xylazine is often used in combination with ketamine. |
|
| |
| Xylazine HCl |
| |
| Specs |
USP |
| Cas No |
23076-35-9 |
| IUPAC Name |
N-(2,6-dimethylphenyl)-5,6-dihydro-4H-1,3-thiazin-2-amine |
| Chemical formula |
C12H16N2SHCL |
| Molecular Weight |
256.79 g/mol |
| Usage Category |
Anesthetic |
Molecular Structure |
 |
| Uses |
| Xylazine, is used in veterinary medicine for sedation, analgesia and muscle relaxation. Furthermore, Xylazine can be used for epidural anesthesia and for anesthetic premedication. The effects of Xylazine are related to depression of the nervous system. Xylazine is an alpha-2 adrenergic agonist and has effects on presynaptic and postsynaptic receptors of the central and peripheral nervous systems. |
|
| |
|